Refleksi terhadap Sumbu X
Refleksi terhadap Sumbu X - Apakah kalian pernah bercermin saat kalian sedang berbaring di atas tempat tidur untuk memeriksa kondisi kulit wajah?
Apakah kalian sadar bahwa jarak antara bayangan wajah kalian di dalam cermin sama dengan jarak antara wajah kalian ke cermin?
Dalam topik kali ini, kalian akan belajar mengenai refleksi atau pencerminan terhadap sumbu horizontal (sumbu X).
Konsep Dasar
Refleksi terhadap sumbu X dari suatu bangun geometri akan memetakan setiap titik pada bangun geometri tersebut terhadap sumbu X sebagai sumbu cermin atau sumbu simetri. Mari kita perhatikan gambar berikut: ![image][55f215acd1f845000e005247] Berdasarkan gambar di atas, tampak bahwa jarak setiap titik pada segitiga ABC ke sumbu X sama dengan jarak setiap titik bayangannya ke sumbu X (AP= A’P, BQ= B’Q, dan CR = C’R). Tampak pula bahwa sudut yang dibentuk oleh sumbu X dengan garis yang menghubungkan setiap titik ke bayangannya berupa sudut siku-siku. Selanjutnya mari kita perhatikan gambar berikut: ![image][55f214de7ef53f0011005a4f] Dalam gambar di atas, dapat kita tarik kesimpulan bahwa hasil refleksi titik A(x, y) terhadap sumbu X adalah titik A'(x', y'), dimana x’ = x dan y’ = -y.
Selanjutnya, karena x' = x = (1)x + (0)y dan y' = -y = (0)x + (-1)y, maka hasil refleksi titik A(x, y) terhadap sumbu X dapat dinyatakan dalam bentuk persamaan matriks sebagai berikut: .
Nah, agar kalian lebih mudah memahami konsep refleksi terhadap sumbu X, mari kita cermati beberapa contoh soal berikut.
Nah, berdasarkan kedua cara di atas, manakah yang lebih mudah?
Pada contoh 1 dan 2, kalian telah belajar tentang bagaimana cara menentukan hasil refleksi suatu titik terhadap sumbu X. Nah, pada contoh 3 dan 4 kalian akan belajar tentang cara menentukan hasil refleksi suatu garis dan kurva terhadap sumbu X.
Kadang kala, persamaan suatu kurva tidak diketahui, namun hasil refleksi kurva terhadap sumbu X diketahui.
Nah, untuk menguji pemahaman kalian, silakan kerjakan sepuluh latihan soal dalam topik ini.
Selanjutnya, karena x' = x = (1)x + (0)y dan y' = -y = (0)x + (-1)y, maka hasil refleksi titik A(x, y) terhadap sumbu X dapat dinyatakan dalam bentuk persamaan matriks sebagai berikut: .
Nah, agar kalian lebih mudah memahami konsep refleksi terhadap sumbu X, mari kita cermati beberapa contoh soal berikut.
Contoh 1
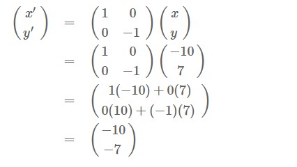
Tentukan bayangan titik A(-10, 7)oleh refleksi terhadap sumbu X.
Penyelesaian:
Kalian dapat menyelesaikan soal ini dengan menggunakan dua cara.
Cara 1
Oleh karena hasil refleksi titik A(x, y) terhadap sumbu X adalah A'(x, -y), maka titik A(-10, 7) akan dipetakan ke titik A'(-10, -7). Dengan demikian, bayangan titik A(-10, 7) oleh refleksi terhadap sumbu X adalah A'(-10, -7).
Cara 2
Berdasarkan matriks transformasi refleksi terhadap sumbu X, diperoleh hubungan sebagai berikut:
Dengan demikian, bayangan titik A(-10, 7) oleh refleksi terhadap sumbu X adalah A'(-10, -7).
Nah, berdasarkan kedua cara di atas, manakah yang lebih mudah?
Contoh 2
Diberikan segitiga ABC dengan koordinat ketiga titik sudutnya adalah sebagai berikut: A(2, 2), B(6, 5), dan C(10, 3). Tentukan bayangan segitiga ABC oleh refleksi terhadap sumbu X.
Penyelesaian:
Oleh karena hasil refleksi titik (x, y) terhadap sumbu X adalah (x, -y), maka bayangan titik A(2, 2), B(6, 5), dan C(10, 3) oleh refleksi terhadap sumbu X berturut-turut adalah A'(2, -2), B'(6, -5), dan C'(10, -3).
Pada contoh 1 dan 2, kalian telah belajar tentang bagaimana cara menentukan hasil refleksi suatu titik terhadap sumbu X. Nah, pada contoh 3 dan 4 kalian akan belajar tentang cara menentukan hasil refleksi suatu garis dan kurva terhadap sumbu X.
Contoh 3
Tentukan bayangan garis 2x + 3y = 10 bila direfleksikan terhadap sumbu X.
Penyelesaian:
Berdasarkan matriks transformasi refleksi terhadap sumbu X, diperoleh hubungan sebagai berikut: .
Jika kita substitusikan x = x' dan y = -y' ke dalam persamaan garis 2x + 3y = 10, maka diperoleh hasil sebagai berikut:
Dengan demikian, bayangan garis 2x + 3y = 10 bila direfleksikan terhadap sumbu X adalah 2x - 3y = 10 .
Contoh 4
Diberikan persamaan parabola y = x2 + 5x + 4. Tentukan bayangan parabola ini apabila direfleksikan terhadap sumbu X.
Penyelesaian:
Berdasarkan matriks transformasi refleksi terhadap sumbu X, diperoleh hubungan sebagai berikut:
Jika kita substitusikan x = x' dan y = -y' ke dalam persamaan parabola y = x2 + 5x + 4, maka diperoleh hasil sebagai berikut:
Dengan demikian, bayangan parabola y = x2 + 5x + 4 bila direfleksikan terhadap sumbu X adalah y = -x2 - 5x + 4.
Kadang kala, persamaan suatu kurva tidak diketahui, namun hasil refleksi kurva terhadap sumbu X diketahui.
Nah, tahukah kalian bagaimana cara menentukan persamaan kurva semula?
Mari kita temukan jawabannya dalam contoh soal berikut.
Contoh 5
Persamaan suatu kurva oleh pencerminan terhadap sumbu X adalah x2 + y2 + 6x - 2y + 1 = 0. Tentukan persamaan kurva semula.
Penyelesaian:
Oleh karena persamaan suatu kurva oleh pencerminan terhadap sumbu X adalah x2 + y2 + 6x - 2y + 1 = 0, maka persamaan tersebut dapat dinyatakan dalam bentuk (x')2 + (y')2+ 6x' - 2y' + 1 = 0.
Berdasarkan matriks transformasi refleksi terhadap sumbu X, diperoleh hubungan sebagai berikut:
Jika kita substitusikan x' = x dan y' = -y ke dalam persamaan lingkaran (x')2 + (y')2 + 6x' - 2y' + 1 = 0, maka diperoleh hasil sebagai berikut:
Dengan demikian, persamaan kurva semula adalah x2 + y2 + 6x + 2y + 1 = 0.
Nah, untuk menguji pemahaman kalian, silakan kerjakan sepuluh latihan soal dalam topik ini.
contoh soal refleksi (pencerminan),
contoh soal pencerminan dan jawabannya,
pengertian refleksi matematika,
refleksi terhadap garis y=h,
pencerminan kelas 4,
rumus translasi,
bayangan garis y=2x+2 yang dicerminkan terhadap garis y=x adalah,
refleksi terhadap garis y mx n,
